

Hãy luôn nhớ cảm ơn và vote 5*
nếu câu trả lời hữu ích nhé!
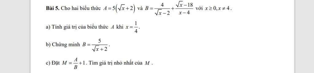
Đáp án +Giải thích các bước giải:
Với `x >= 0 ; x \ne 4` ta có:
a) Tại `x = 1/4` thì
`A = 5 . (\sqrt{1/4} + 2)`
`= 5 . (1/2 + 2)`
`= 5 . 5/2`
`= 25/2`
Vậy `A = 25/2 ` tại `x = 1/4`
b) `B = 4/(\sqrt{x} - 2) + (\sqrt{x} - 18)/(x - 4)`
`= (4(\sqrt{x} + 2))/((\sqrt{x} - 2)(\sqrt{x} + 2)) + (\sqrt{x} - 18)/((\sqrt{x} - 2)(\sqrt{x} + 2))`
`= (4\sqrt{x} + 8 + \sqrt{x} - 18)/((\sqrt{x} - 2)(\sqrt{x} + 2))`
`= (5\sqrt{x} - 10)/((\sqrt{x} - 2)(\sqrt{x} + 2))`
`= (5(\sqrt{x} - 2))/((\sqrt{x} - 2)(\sqrt{x} + 2))`
`= 5/(\sqrt{x} + 2)`
c)
`M = A/B + 1 = 5(\sqrt{x} + 2) : 5/(\sqrt{x} + 2) + 1`
`= 5(\sqrt{x} + 2 ) . (\sqrt{x} + 2)/5 + 1`
`= (\sqrt{x} + 2)(\sqrt{x} + 2) + 1`
`= (\sqrt{x} + 2)^2 + 1`
Ta thấy:
`(\sqrt{x} + 2)^2 >= 4 AA x`
`-> (\sqrt{x} + 2)^2 + 1 >= 5 AA x`
Dấu `=` xảy ra khi `x = 0`
Vậy `M_(MIN) = 5` đạt được khi `x = 0`
Hãy giúp mọi người biết câu trả lời này thế nào?

Đáp án+Giải thích các bước giải:
`a)` `+)` Ta cho biểu thức `A=5.(\sqrt{x}+2)` `(đk:x\ge0)`
`+)` Với `x\ge0` thì ta thay `x=1/4(tmđk)` vào `A` ta được:
`->A=5.(\sqrt{1/4}+2)=5.(1/2+2)=5. 5/2=25/2`
Vậy tại `x=1/4` thì giá trị biểu thức `A` là `25/2.`
`b)`
Ta rút gọn `B` ta được:
`B=\frac{4}{\sqrt{x}-2}+\frac{\sqrt{x}-18}{x-4}` `(đk:x\ge0;x\ne4)`
`=\frac{4}{\sqrt{x}-2}+\frac{\sqrt{x}-18}{(\sqrt{x})^{2}-2^{2}}`
`=\frac{4.(\sqrt{x}+2)}{(\sqrt{x}-2).(\sqrt{x}+2)}+\frac{\sqrt{x}-18}{(\sqrt{x}-2).(\sqrt{x}+2)}`
`=\frac{4\sqrt{x}+8+\sqrt{x}-18}{(\sqrt{x}-2).(\sqrt{x}+2)}`
`=\frac{5\sqrt{x}-10}{(\sqrt{x}-2).(\sqrt{x}+2)}`
`=\frac{5.(\sqrt{x}-2)}{(\sqrt{x}-2).(\sqrt{x}+2)}`
`=\frac{5}{\sqrt{x}+2}`
`->` Điều phải chứng minh.
Vậy `B=\frac{5}{\sqrt{x}+2}` với `x\ge0;x\ne4`
`c)`
Ta có:
`M=A/B+1` `(đk:B\ne0;x\ge0;x\ne4)`
`=\frac{5.(\sqrt{x}+2)}{(\frac{5}{\sqrt{x}+2})}+1`
`=[5.(\sqrt{x}+2)].\frac{\sqrt{x}+2}{5}+1`
`=\frac{5.(\sqrt{x}+2).(\sqrt{x}+2)}{5}+1`
`=(\sqrt{x}+2)^{2}+1`
`->M=(\sqrt{x}+2)^{2}+1`
`=x+4\sqrt{x}+4+1`
`=x+4\sqrt{x}+5`
Do `x\ge0`
`4\sqrt{x}\ge0AAx`
`5>0`
`->x+4\sqrt{x}+5\ge 5`
`->M\ge5`
`->M_{min}=5`
Dấu "=" xảy ra khi chỉ khi: `x=0(tmđk)`
Vậy `M_{min}=5` khi `x=0.`
Hãy giúp mọi người biết câu trả lời này thế nào?
Bảng tin
2197
1351
1840
Sai hả a
26661
334290
17817
Anh nói vậy thôi lm mấy quả ngoại giao tí nhỉ cho vui:)
2197
1351
1840
Kk vui tính tht
2197
1351
1840
A ơi
26661
334290
17817
Sao vậy em
2197
1351
1840
Nếu bị xoá câu trả lời đó sai thì có bị mất cơ hội tham gia BDHH ko a
26661
334290
17817
Tuỳ vào mức độ bạn ạ
2197
1351
1840
Mức độ j v anh