

Hãy luôn nhớ cảm ơn và vote 5*
nếu câu trả lời hữu ích nhé!
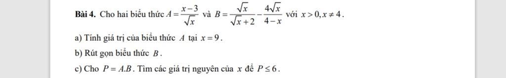
c)ĐK:`x>0;xne4`
`P=A.B`
`=(x-3)/sqrtx . sqrtx/(sqrtx-2)`
`=(x-3)/(sqrtx-2)`
Ta có `P<=6`
hay `(x-3)/(sqrtx-2)-6<=0`
`<=>(x-3-6sqrtx+12)/(sqrtx-2)<=0`
`<=>(x-6sqrtx+9)/(sqrtx-2)<=0`
`<=>(sqrtx-3)^2/(sqrtx-2)<=0`
mà `(sqrtx-3)^2>=0`
`=>sqrtx-2<0`
`<=>sqrtx<2`
`<=>x<4`
Kết hợp điều kiện `x>0`
`=>0<x<4`
mà x là số nguyên `=>x in {1;2;3}`
Hãy giúp mọi người biết câu trả lời này thế nào?

`c)`
`B=(\sqrt{x})/(\sqrt{x}+2)-(4\sqrt{x})/(4-x)`
`B=(\sqrt{x}(\sqrt{x}-2))/((\sqrt{x}+2)(\sqrt{x}-2))+(4\sqrt{x})/((\sqrt{x}+2)(\sqrt{x}-2))`
`B=(x-2\sqrt{x}+4\sqrt{x})/((\sqrt{x}+2)(\sqrt{x}-2))`
`B=(x+2\sqrt{x})/((\sqrt{x}+2)(\sqrt{x}-2))`
`B=(\sqrt{x}(\sqrt{x}+2))/((\sqrt{x}+2)(\sqrt{x}-2))`
`B=(\sqrt{x})/(\sqrt{x}-2)`
`P=A·B`
`P=(x-3)/(\sqrt{x})·(\sqrt{x})/(\sqrt{x}-2)`
`P=(x-3)/(\sqrt{x}-2)`
Để `P≤6` thì
`(x-3)/(\sqrt{x}-2)≤6`
`(x-3)/(\sqrt{x}-2)-6≤0`
`(x-3-6(\sqrt{x}-2))/(\sqrt{x}-2)≤0`
`(x-6\sqrt{x}+9)/(\sqrt{x}-2)≤0`
`((\sqrt{x}-3)^2)/(\sqrt{x}-2)≤0`
Ta có: `(\sqrt{x}-3)^2≥0`
`⇒\sqrt{x}-2≤0`
`⇒\sqrt{x}≤2`
`⇒x≤4`
`⇒0<x<4`
Vậy `x in {1;2;3}`
Hãy giúp mọi người biết câu trả lời này thế nào?

Bảng tin