

Hãy luôn nhớ cảm ơn và vote 5*
nếu câu trả lời hữu ích nhé!
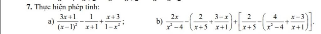
`a) (3x+1)/((x-1)^2) - 1/(x+1) + (x+3)/(1-x^2) (x \ne +- 1)`
`=((3x+1)(x+1))/((x-1)^2(x+1)) - ((x-1)^2)/(x+1) - ((x+3)(x-1))/((x-1)^2(x+1))`
`=(3x^2 + 4x + 1 - x^2 + 2x - 1 - x^2 - 2x + 3)/((x-1)^2(x+1))`
`=(x^2 + 4x + 3)/((x-1)^2(x+1))`
`=((x+3)(x+1))/((x-1)^2(x+1))`
`=(x+3)/((x-1)^2)`
`b) (2x)/(x^2-4) - (2/(x+5) + (3-x)/(x+1)) + [2/(x+5) - (4/(x^2-4) + (x-3)/(x+1))] (x \ne +- 2; x \ne -5; x \ne -1)`
`=(2x)/(x^2-4) - 2/(x+5) - (3-x)/(x+1) + 2/(x+5) - 4/(x^2-4) - (x-3)/(x+1)`
`=((2x)/((x-2)(x+2)) - 4/((x-2)(x+2))) + ((-2)/(x+5) + 2/(x+5)) + ((x-3)/(x+1) - (x-3)/(x+1))`
`=(2(x-2))/((x-2)(x+2)) + 0 + 0`
`=2/(x+2)`
Hãy giúp mọi người biết câu trả lời này thế nào?

Bảng tin