

Hãy luôn nhớ cảm ơn và vote 5*
nếu câu trả lời hữu ích nhé!
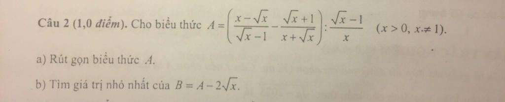
`(x>0;xne1)`
`a)A=((x-sqrtx)/(sqrtx-1)-(sqrtx+1)/(x+sqrtx)) :(sqrtx-1)/x`
`=((sqrtx(sqrtx-1))/(sqrtx-1)-(sqrtx+1)/(sqrtx(sqrtx+1))) .x/(sqrtx-1)`
`=(sqrtx-1/sqrtx) . x/(sqrtx-1)`
`=(sqrtxsqrtx-1)/sqrtx .x/(sqrtx-1)`
`=((sqrtx-1)(sqrtx+1)sqrtx)/(sqrtx-1)`
`=sqrtx(sqrtx+1)`
`=x+sqrtx`
`b)B=A-2sqrtx`
`=x+sqrtx-2sqrtx`
`=x-sqrtx`
`=x-2.sqrtx .1/2+1/4-1/4`
`=(sqrtx-1/2)^2-1/4`
Ta có `(sqrtx-1/2)^2>=0`
`<=>(sqrtx-1/2)^2-1/4>=-1/4`
`<=>B>=-1/4`
Dấu `'='` xảy ra`<=>sqrtx-1/2=0`
`<=>sqrtx=1/2`
`<=>x=1/4(tmđk)`
Vậy `min_B=-1/4<=>x=1/4`
Hãy giúp mọi người biết câu trả lời này thế nào?
Bảng tin