

Hãy luôn nhớ cảm ơn và vote 5*
nếu câu trả lời hữu ích nhé!
Đáp án + giải thích các bước giải:
`48//A`
`G` là trọng tâm `\Delta ABC `
`->{(x_A+x_B+x_C=3x_G),(y_A+y_B+y_C=3y_G),(z_A+z_B+z_C=3z_G):}`
`->{(x_G=1/3),(y_G=2),(z_G=1/3):}`
`->G(1/3;2;1/3)`
`\vec{OG}=(1/3;2;1/3)`
`\vec{OB}=(-2;1;0)`
`\vec{n_{(OBC)}}=[\vec{OG},\vec{OB}]=(-1/3;-2/3;13/3)`
`->(OBC):-1/3x-2/3y+13/3z=0`
`->-x-2y+13z=0`
`->x+2y-13z=0`
`d_(A,(OBC))=(|1+2.2-13.(-1)|)/\sqrt{1^2+2^2+13^2}=(3\sqrt{174})/29`
`51// C`
`(\alpha)` chứa trục `Oy -> (\alpha):ax+cz=0`
`->d(M,(\alpha))=(|a+3c|)/\sqrt{a^2+c^2}`
Với `c=0->d=(|a|)/(|a|)=1`
Với `c\ne0`:
`->d=(|a/c+3|)/\sqrt{(a/c)^2+1}`
Đặt `a/c=t`
`->d=(|t+3|)/\sqrt{t^2+1}=\sqrt{(t^2+6t+9)/(t^2+1)}`
Xét `f(t)=\sqrt{(t^2+6t+9)/(t^2+1)}`
`f'(t)=(-6t^2-16t+6)/(2(t^2+1)^\sqrt{(t^2+6t+9)/(t^2+1)})`
`f'(t)=0->t=-3;1/3`
Với `t=-4->f'(t)<0`
Với `t=0->f'(t)>0`
Với `t=1->f'(t)<0`
Với `t=-3->f(t)=0`
Với `t=1/3->f(t)=\sqrt{10}`
mà `lim_{t->-\infty} \sqrt{(t^2+6t+9)/(t^2+1)}=lim_{t->-\infty} \sqrt{(1+6/t+9/t^2)/(1+1/t^2)}=1`
`->max f(t)=f(1/3)=\sqrt{10}` đạt khi `t=1/3->a/c=1/3->3a=c`
`->(\alpha):ax-3az=0`
`->x-3z=0` (`a=0` thì không tồn tại mặt phẳng)
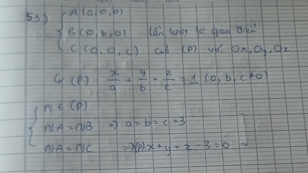
`52// A`
`A\inOx,B\inOy,C\inOz->A(a;0;0);B(0;b;0);C(0;0;c)`
`N` là tâm đường tròn ngoại tiếp `\Delta ABC `
`->NA=NB=NC`
`->\sqrt{(a-1)^2+1^2+1^2}=\sqrt{1^2+(b-1)^2+1^2}=\sqrt{1^2+1^2+(c-1)^2}`
`->a=b=c`
`->(P): x/a+y/a+z/a=1`
`->x+y+z=a`
mà `N\in(P)`
`->1+1+1=a`
`->a=3`
`->x+y+z-3=0`
Hãy giúp mọi người biết câu trả lời này thế nào?
Bảng tin