

4.4. Khi sử dụng nước chứa nhiều sắt (nhiễm phèn sắt) để giặt giũ quần áo trắng sẽ làm quần áo bị ố vàng, dùng để ăn uống lâu ngày có nguy cơ mắc các bệnh về gan, thận.
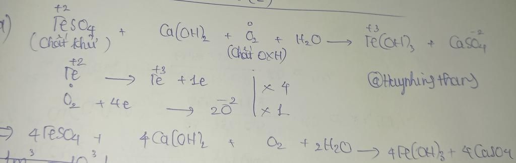
Một trong các phương pháp để loại bỏ sắt khỏi nguồn nước nhiễm phèn sắt là sử dụng vôi tôi với lượng vừa đủ, sau đó cho tiếp xúc với không khí:
Fe2(SO4)3 + Ca(OH)2 → Fe(OH)3 + CaSO4 (1)
FeSO4 + Ca(OH)2 + O2 + H2O→ Fe(OH)3 + CaSO4 (2)
Iron(III) hydroxide kết tủa thành dạng bông cặn và được tách ra ở bể lắng.
Tính khối lượng Ca(OH)2 cần dùng để kết tủa toàn bộ sắt trong 1m3 mẫu nước sinh hoạt theo phương pháp trên.
Hãy luôn nhớ cảm ơn và vote 5*
nếu câu trả lời hữu ích nhé!
Bảng tin