Đăng nhập để hỏi chi tiết


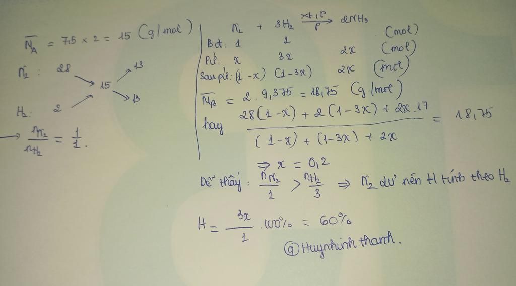
Một hỗn hợp khí A gồm N2 và H2 có tỉ khối đối với H2 bằng 7,5 . Tạo phản ứng giữa N2 và H2 cho ra NH3 bằng cách cho A đi qua chất xúc tác nung nóng thu được hỗn hợp khí B ( gồm 3 khí) có tỉ khối so với H2 bằng 9,375. Tính hiệu suất phản ứng.
giúp mình với!!!
Hãy luôn nhớ cảm ơn và vote 5*
nếu câu trả lời hữu ích nhé!

Bảng tin