

giải chi tiết giúp mình nhé ah
Hãy luôn nhớ cảm ơn và vote 5*
nếu câu trả lời hữu ích nhé!

Giải thích các bước giải:
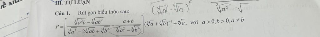
Đặt $\sqrt[6]{a}=x, \sqrt[6]{b}=y$
$\to x^6=a, y^6=b$
Ta có:
$P=(\dfrac{x^4y^2-x^2y^4}{x^4-2x^2y^2+y^4}-\dfrac{x^6+y^6}{x^4-y^4})\cdot (x+y)^{-1}+x$
$\to P=(\dfrac{x^2y^2(x^2-y^2)}{(x^2-y^2)^2}-\dfrac{(x^2+y^2)(x^4-x^2y^2+y^4)}{(x^2-y^2)(x^2+y^2)})\cdot \dfrac1{x+y}+x$
$\to P=(\dfrac{x^2y^2}{x^2-y^2}-\dfrac{x^4-x^2y^2+y^4}{x^2-y^2})\cdot \dfrac1{x+y}+x$
$\to P=\dfrac{x^2y^2-(x^4-x^2y^2+y^4)}{x^2-y^2}\cdot \dfrac1{x+y}+x$
$\to P=\dfrac{-(x^4+y^4-2x^2y^2)}{x^2-y^2}\cdot \dfrac1{x+y}+x$
$\to P=\dfrac{-(x^2-y^2)^2}{x^2-y^2}\cdot \dfrac1{x+y}+x$
$\to P=-(x^2-y^2)\cdot \dfrac1{x+y}+x$
$\to P=-(x+y)(x-y)\cdot \dfrac1{x+y}+x$$
$\to P=-(x-y)+x$
$\to P=-x+y+x$
$\to P=y$
$\to P=\sqrt[6]{b}$
Hãy giúp mọi người biết câu trả lời này thế nào?
Bảng tin