Đăng nhập để hỏi chi tiết


Hãy luôn nhớ cảm ơn và vote 5*
nếu câu trả lời hữu ích nhé!
Đây là câu trả lời đã được xác thực
Câu trả lời được xác thực chứa thông tin chính xác và đáng tin cậy, được xác nhận hoặc trả lời bởi các chuyên gia, giáo viên hàng đầu của chúng tôi.
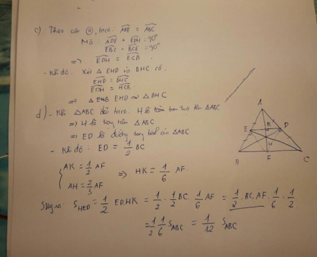
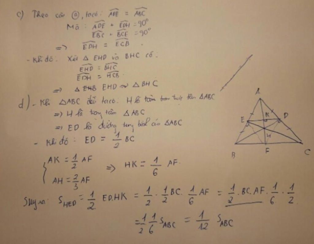
Đáp án:
Gửi bạn
Giải thích các bước giải:
Chi tiết trong hình
Hãy giúp mọi người biết câu trả lời này thế nào?
![]()
Bảng tin
0
7
0
Câu b có cách nào ngắn hơn ko
908
19244
1255
Mik chx nghĩ ra cách khác
0
7
0
Thế bn làm hộ mình cách lớp 8 đi
908
19244
1255
Câu a à bn
0
7
0
Tất cả .-.
908
19244
1255
Okok
0
7
0
Câu c bạn dùng cái đường tròn gì dâyd
908
19244
1255
Đợi chút