

Hãy luôn nhớ cảm ơn và vote 5*
nếu câu trả lời hữu ích nhé!
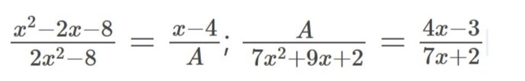
Ta có
`(x^2-2x-8)/(2x^2-8)`
`=(x^2-4x+2x-8)/(2(x^2-4))`
`=(x(x-4)+2(x-4))/(2(x-2)(x+2))`
`=((x+2)(x-4))/(2(x-2)(x+2)`
`=(x-4)/(2x-4)`
Mà `(x-4)/(2x-4)=(x-4)/A`
`=>A=2x-4`
`---`
`A/(7x^2+9x+2)=(4x-3)/(7x+2)`
`=>A(7x+2)=(4x-3)(7x^2+9x+2)`
`=>A(7x+2)=(4x-3)(7x+2)(x+1)`
`=>A=((4x-3)(7x+2)(x+1))/(7x+2)`
`=>A=(4x-3)(x+1)`
`=>A=4x^2+4x-3x-3`
`=>A=4x^2+x-3`
Hãy giúp mọi người biết câu trả lời này thế nào?
Đáp án+Giải thích các bước giải:
$(*)$
`\frac{x^{2}-2x-8}{2x^{2}-8}=\frac{x-4}{A}`
`(đk:x\ne\pm2;A\ne0)`
`->A.(x^{2}-4x+2x-8)=[2.(x^{2}-2^{2})].(x-4)`
`->A=\frac{2.(x-2).(x+2).(x-4)}{x.(x-4)+2.(x-4)}`
`->A=\frac{2.(x-2).(x+2).(x-4)}{(x+2).(x-4)}`
`->A=2.(x-2)`
`->A=2x-4`
Vậy `A=2x-4`
$(*)$ `\frac{A}{7x^{2}+9x+2}=\frac{4x-3}{7x+2}`
`(đk:x\ne -2/7;x\ne-1)`
`->A.(7x+2)=(4x-3).(7x^{2}+7x+2x+2)`
`->A=\frac{(4x-3).[7x.(x+1)+2.(x+1)]}{7x+2}`
`->A=\frac{(4x-3).(7x+2).(x+1)}{7x+2}`
`->A=(4x-3).(x+1)`
`->A=4x^{2}+4x-3x-3`
`->A=4x^{2}+x-3`
Vậy `A=4x^{2}+x-3.`
Hãy giúp mọi người biết câu trả lời này thế nào?
Bảng tin
27641
356940
18754
Bạn bổ sung thêm một phần nữa nha
595
501
279
à ừ, mình nhìn thiếu