

Nhân liên hợp là gì?
Ví dụ với 1 bài toán có căn bậc 2, căn bậc 3 ta giải pt dựa vào nhân liên hợp như thế nào?
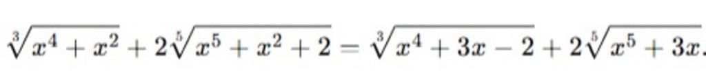
VD: căn bậc 3 của( x^4 + x^2) + 2 nhân căn bậc 5 của(x^5 + x^2 + 2) = căn bậc 3 của(x^4+3x-2) + 2 nhân căn bậc 5 của(x^5+ 3x).
CÁC ANH CHỊ GIẢI THÍCH DỄ HIỂU XÍU VÌ EM MỚI LỚP 10 Ạ!
Bảng tin