

ai biết làm lớp 11 giúp với ạ
Hãy luôn nhớ cảm ơn và vote 5*
nếu câu trả lời hữu ích nhé!
Đáp án:
Giải thích các bước giải:
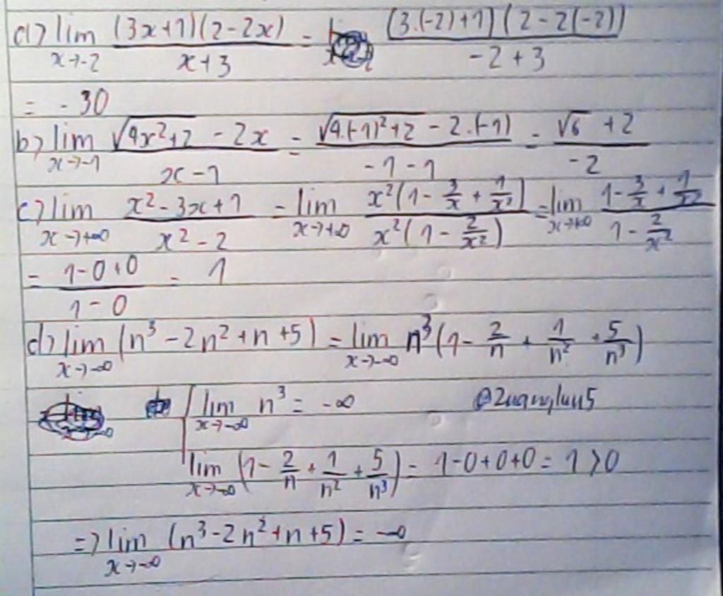
$a)\lim\limits_{x\to -2}\dfrac{(3x+1)(2-2x)}{x+3}\\=\dfrac{[3.(-2)+1][2-2.(-2)]}{-2+3}\\=-30.\\b)\lim\limits_{x\to -1}\dfrac{\sqrt{4x^2+2}-2x}{x-1}\\=\dfrac{\sqrt{4.(-1)^2+2}-2.(-1)}{-1-1}\\=-\dfrac{2+\sqrt{6}}{2}.\\c)\lim\limits_{x\to +\infty}\dfrac{x^2-3x+1}{x^2-2}\\=\lim\limits_{x\to+\infty}\dfrac{1-\dfrac{3}{x}+\dfrac{1}{x^2}}{1-\dfrac{2}{x^2}}\\=\dfrac{1-0+0}{1-0}=1.\\d)\lim\limits_{x\to-\infty}(n^3-2n^2+n+5)\\=\lim\limits_{n\to-\infty}\left[n^3\left(1-\dfrac{2}{n}+\dfrac{1}{n^2}+\dfrac{5}{n^3}\right)\right]\\=\lim\limits_{n\to-\infty}n^3.\lim\limits_{n\to-\infty}\left(1-\dfrac{2}{n}+\dfrac{1}{n^3}+\dfrac{5}{n^3}\right)\\=-\infty.1\\=-\infty.$
`color{red}{Mary}`
Hãy giúp mọi người biết câu trả lời này thế nào?
![]()
Bảng tin
1176
545
1084
https://hoidap247.com/cau-hoi/7663823 helpp em ;-;