

Hãy luôn nhớ cảm ơn và vote 5*
nếu câu trả lời hữu ích nhé!

a.
`y'=3.((2x+1)/(x-1))^2.((2x+1)/(x-1))^'`
`y'=3.((2x+1)/(x-1))^2.\frac{(2x+1)'(x-1)-(2x+1)(x-1)'}{(x-1)^2}`
`y'=3.((2x+1)/(x-1))^2.\frac{2(x-1)-(2x+1)}{(x-1)^2}`
`y'=3.((2x+1)/(x-1))^2.\frac{-3}{(x-1)^2}`
`y'=\frac{-9(2x+1)^2}{(x-1)^4}`
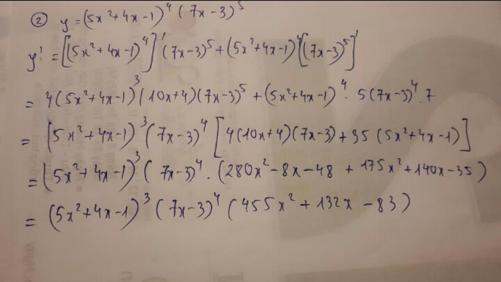
b.
`y'=[(5x^2+4x-1)^4]^'.(7x-3)^5+(5x^2+4x-1)^4.[(7x-3)^5]^'`
`y'=4(5x^2+4x-1)^3.(10x+4).(7x-3)^5+(5x^2+4x-1)^4. 5(7x-3)^4 .7`
`y'=(5x^2+4x-1)^3.(7x-3)^4.[4.(10x+4)(7x-3)+35(5x^2+4x-1)]`
`y'=(5x^2+4x-1)^3.(7x-3)^4.(455x^2+132x-83)`
Hãy giúp mọi người biết câu trả lời này thế nào?
![]()
Đáp án:
Câu b
Giải thích các bước giải:
Chi tiết trong hình
Hãy giúp mọi người biết câu trả lời này thế nào?
![]()
Bảng tin