

Cứu em với ạ! Em cần gấp
Hãy luôn nhớ cảm ơn và vote 5*
nếu câu trả lời hữu ích nhé!
`Đ Đ`
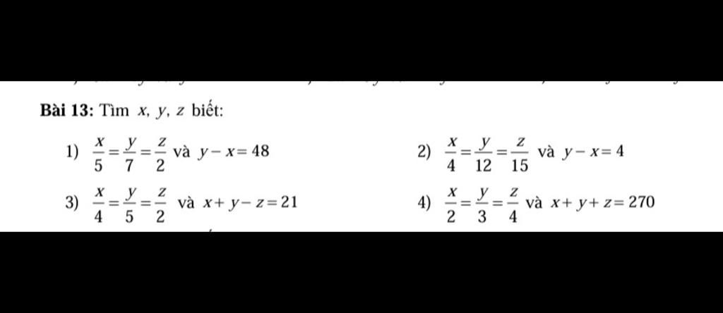
`1)`
Áp dụng t/c dãy tỉ số bằng nhau ta có:
`x/5=y/7=z/2=(-x+y)/(-5+7)=(y-x)/(7-5)=48/2=24`
Do đó:
`x=24*5=120`
`y=24*7=168`
`z=24*2=48`
Vậy `...`
`2)`
Áp dụng t/c dãy tỉ số bằng nhau ta có:
`x/4=y/12=z/15=(-x+y)/(-4+12)=(y-x)/(12-4)=4/8=1/2`
Do đó:
`x=1/2*4=2`
`y=1/2*12=6`
`z=1/2*15=7,5`
Vậy `...`
`3)`
Áp dụng t/c dãy tỉ số bằng nhau ta có:
`x/4=y/5=z/2=(x+y-z)/(4+5-2)=21/7=3`
Do đó:
`x=3*4=12`
`y=3*5=15`
`z=3*2=6`
Vậy `...`
`4)`
Áp dụng t/c dãy tỉ số bằng nhau ta có:
`x/2=y/3=z/4=(x+y+z)/(2+3+4)=270/9=30`
Do đó:
`x=30*2=60`
`y=30*3=90`
`z+30*4=120`
Vậy `...`
Hãy giúp mọi người biết câu trả lời này thế nào?
`\ttcolor{#80808030}{@evade}`
Bài 1:
Áp dụng tính chất dãy tỉ số bằng nhau ta có:
`x/5 = y/7 = z/2 = (y - x) / (7 - 5) = 48 / 2 = 24`
Suy ra:
`x = 5 * 24 = 120`
`y = 7 * 24 = 168`
`z = 2 * 24 = 48`
Vậy `x = 120, y = 168, z = 48`
``
Bài 2:
Áp dụng tính chất dãy tỉ số bằng nhau ta có:
`x/4 = y/12 = z/15=(y - x) / (12 - 4) = 4 / 8 = 1/2`
Suy ra:
`x = 4 * 1/2 = 2`
`y = 12 * 1/2 = 6`
`z = 15 * 1/2 = 7,5`
Vậy `x = 2, y = 6, z = 7,5`
``
Bài 3:
Áp dụng tính chất dãy tỉ số bằng nhau:
`x/4 = y/5 = z/2=(x + y - z) / (4 + 5 - 2) = 21 / 7 = 3`
Suy ra:
`x = 4 * 3 = 12`
`y = 5 * 3 =15`
`z = 2 * 3 = 6`
Vậy `x = 12, y = 15, z = 6`
``
Bài 4:
Áp dụng tính chất dãy tỉ số bằng nhau ta có:
`x/2 = y/3 = z/4= (x + y + z) / (2 + 3 + 4) = 270 / 9 = 30`
Suy ra:
`x = 2 * 30 = 60`
`y = 3 * 30 = 90`
`z = 4 * 30 = 120`
Vậy `x = 60, y = 90, z = 120`
Hãy giúp mọi người biết câu trả lời này thế nào?
Bảng tin
5914
42109
2972
vào phần vừa làm thừa
5914
42109
2972
Bắt đầu từ tối thứ `6` nhé