Đăng nhập để hỏi chi tiết


Chỗ B2 sang b3 của câu b ấy là mình có câu hỏi là:
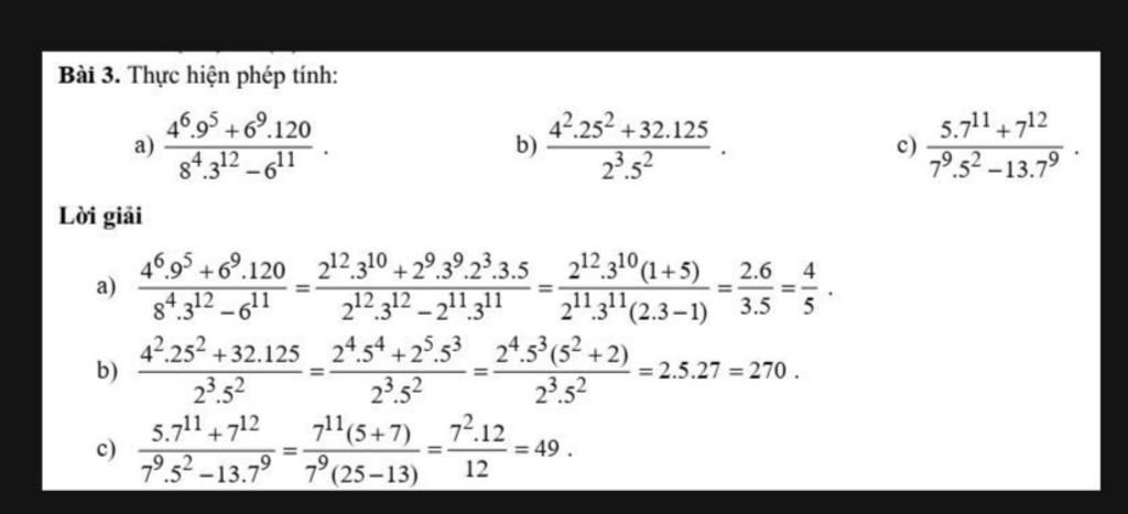
$\frac{2^{4}.5^{4}+2^{5}.5^{3}}{2^{3}.5^{2}}$
=$\frac{2^{4}.5^{3}(5+2)}{2^{3}.5^{2}}$ chứ nhỉ?
Bài giải trog hình đúng hay sai v ạ?
Hãy luôn nhớ cảm ơn và vote 5*
nếu câu trả lời hữu ích nhé!
`(4^2 .25^2+32.125)/(2^3 .5^2)=(2^4 .5^4+2^5 .5^3)/(2^3 .5^2)=(2^4 .5^3 .(5+2))/(2^3 .5^2)=2.5.7=70`
`->` Sai vì `5^4` rút `5^3` ra ngoài thì còn `5`
Hãy giúp mọi người biết câu trả lời này thế nào?

Bảng tin