

Hãy luôn nhớ cảm ơn và vote 5*
nếu câu trả lời hữu ích nhé!
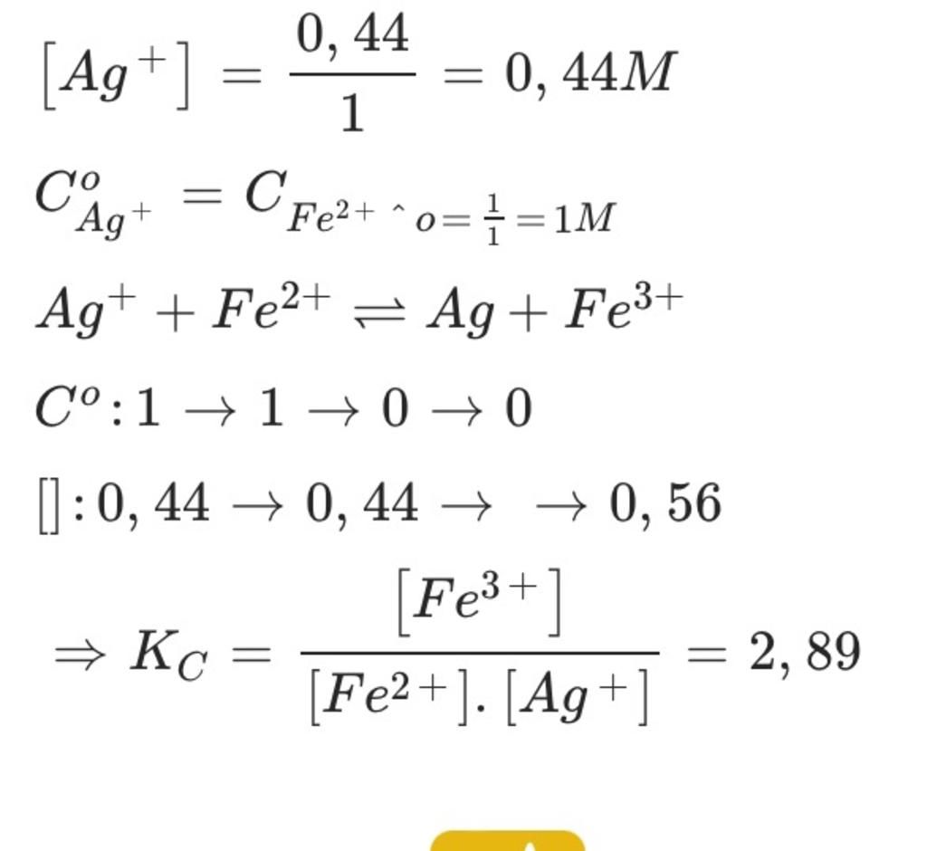
- Trong hằng số cân bằng thì nồng độ của các chất rắn được xem là `1`
- `Ag` là chất rắn `-> [Ag] = 1`
` Fe^[2+] + Ag^[+] -> Fe^[3+] + Ag↓`
`=> K_c =[ [ Fe^[3+] ].[Ag] ]/[ [ Fe^[2+] ] . [ Ag^[+] ] ]`
`= [ [ Fe^[3+] ] . 1 ]/[ [ Fe^[2+] ] . [ Ag^[+] ] ]`
`=[ [ Fe^[3+] ] ]/[ [ Fe^[2+] ] . [ Ag^[+] ] ]`
Hãy giúp mọi người biết câu trả lời này thế nào?
Đối với chất rắn tham gia, không biểu diễn nồng độ chất rắn trong biểu thức hằng số cân bằng
`=>` `K_C` = `{[Fe^{3+}]}/{[Fe^{2+}][Ag^+]}`
Hãy giúp mọi người biết câu trả lời này thế nào?
Bảng tin