Tham Gia Group Dành Cho Lớp 11 Chia Sẻ, Trao Đổi Tài Liệu Miễn Phí
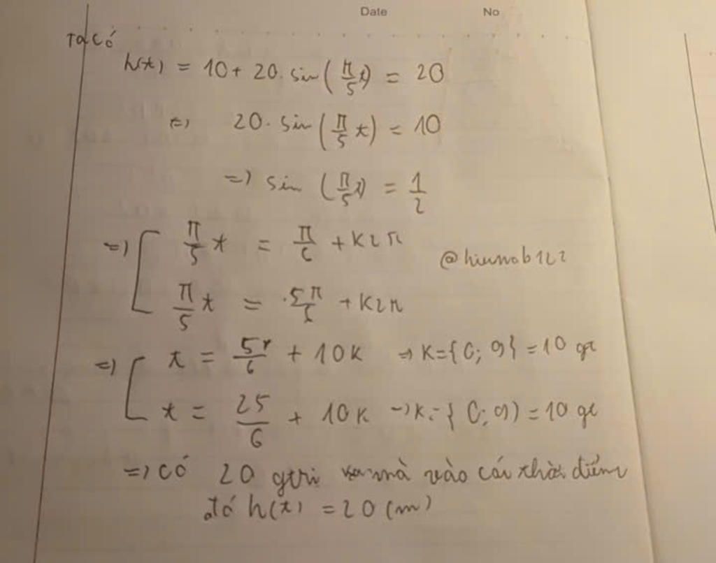
Câu 2: Bạn Nam tham gia trò chơi vòng quay mặt trời tại một công viên. Khi bắt đầu trò chơi,
Nam ngồi vào cabin số 1. Độ cao so với mặt đất của cabin số 1 trên vòng quay vào thời điểm t
giây sau khi bắt đầu chuyển động được cho bởi công thức h(t) = 10 +20sin
nhiều giá trịt (0
159
68
783
cmxth
1804
5262
1696
camon c nha