

Hãy luôn nhớ cảm ơn và vote 5*
nếu câu trả lời hữu ích nhé!
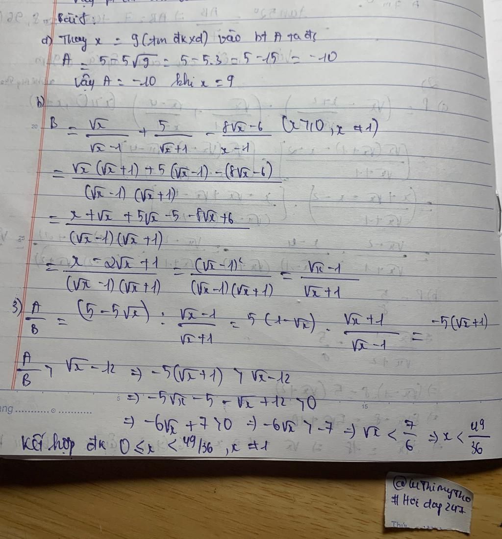
$1)$ Ta có: $A=5-5\sqrt{x}$ ($x\ge0$)
Thay $x=9$ (thoả mãn $x\ge0$) vào $A$ ta được:
$A=5-5\sqrt{9}=5-5.3=-10$
Vậy $A=-10$ khi $x=9$
$2)$ Ta có: $B=\dfrac{\sqrt{x}}{\sqrt{x}-1}+\dfrac{5}{\sqrt{x}+1}-\dfrac{8\sqrt{x}-6}{x-1}$ ($x\ge0$, $x\ne1$)
$=\dfrac{\sqrt{x}}{\sqrt{x}-1}+\dfrac{5}{\sqrt{x}+1}-\dfrac{8\sqrt{x}-6}{(\sqrt{x}-1)(\sqrt{x}+1)}$
$=\dfrac{\sqrt{x}(\sqrt{x}+1)+5(\sqrt{x}-1)-8\sqrt{x}+6}{(\sqrt{x}-1)(\sqrt{x}+1)}$
$=\dfrac{x+\sqrt{x}+5\sqrt{x}-5-8\sqrt{x}+6}{(\sqrt{x}-1)(\sqrt{x}+1)}$
$=\dfrac{x-2\sqrt{x}+1}{(\sqrt{x}-1)(\sqrt{x}+1)}$
$=\dfrac{(\sqrt{x}-1)^2}{(\sqrt{x}-1)(\sqrt{x}+1)}$
$=\dfrac{\sqrt{x}-1}{\sqrt{x}+1}$
Vậy $B=\dfrac{\sqrt{x}-1}{\sqrt{x}+1}$ với $x\ge0$, $x\ne1$
$3)$ Ta có $\dfrac{A}{B}$ $\Leftrightarrow$ $B\ne0$
$\Leftrightarrow$ $\dfrac{\sqrt{x}-1}{\sqrt{x}+1}\ne0$
Mà $x\ge0$, $x\ne1$
$\Rightarrow$ $B$ luôn $\ne0$
$\Rightarrow$ $\dfrac{A}{B}=(5-5\sqrt{x}):\dfrac{\sqrt{x}-1}{\sqrt{x}+1}$ ($x\ge0$, $x\ne1$)
$=-5(\sqrt{x}-1).\dfrac{\sqrt{x}+1}{\sqrt{x}-1}$
$=-5(\sqrt{x}+1)$
$=-5\sqrt{x}-5$
$\Rightarrow$ $\dfrac{A}{B}>\sqrt{x}-12$
$\Leftrightarrow$ $-5\sqrt{x}-5>\sqrt{x}-12$
$\Leftrightarrow$ $\sqrt{x}+5\sqrt{x}<-5+12$
$\Leftrightarrow$ $6\sqrt{x}<7$
$\Leftrightarrow$ $\sqrt{x}<\dfrac{7}{6}$
$\Leftrightarrow$ $x<\dfrac{49}{36}$
Mà $x\ge0$, $x\ne1$
$\Rightarrow$ $0\le$ $x<\dfrac{49}{36}$, $x\ne1$
Vậy $0\le$ $x<\dfrac{49}{36}$, $x\ne1$
Hãy giúp mọi người biết câu trả lời này thế nào?
Bảng tin
1176
545
1084
cảm on cou rấc nhiều ạ :33333333333
2418
40504
923
Ko có gì nè cạu vote cho mk là đc r nha
1176
545
1084
kê ạ :3