

Hãy luôn nhớ cảm ơn và vote 5*
nếu câu trả lời hữu ích nhé!
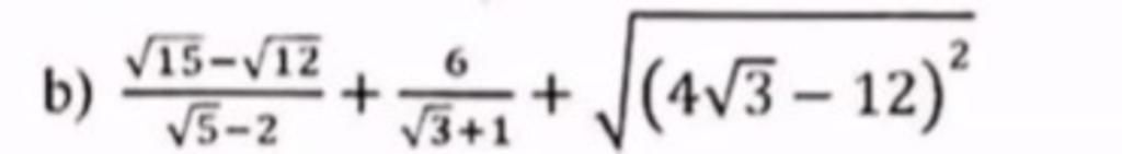
Đáp án+Giải thích các bước giải`:`
`[sqrt(15)-sqrt(12)]/[sqrt(5)-2]+6/[sqrt[3]+1]+sqrt((4sqrt(3)-12)^2)`
`=[sqrt(3)*(sqrt(5)-2)]/[sqrt(5)-2]+(6*(sqrt(3)-1))/(3-1)+|4sqrt[3]-12|`
`=sqrt[3]+(6(sqrt(3)-1))/2+12-4sqrt(3)`
`=sqrt(3)+3(sqrt(3)-1)-4sqrt[3]+12`
`=sqrt(3)+3sqrt[3]-3-4sqrt[3]+12`
`=9`
Hãy giúp mọi người biết câu trả lời này thế nào?

Đáp án`+`Giải thích các bước giải:
`b, (\sqrt{15} - \sqrt{2})/(\sqrt{5} - 2) + 6/(\sqrt{3} + 1) + \sqrt{(4\sqrt{3} -1 2)^2}`
`= (\sqrt{3} (\sqrt{5} - 2))/(\sqrt{5} - 2) + (6(\sqrt{3} - 1))/((\sqrt{3} + 1)(\sqrt{3} - 1)) + |4\sqrt{3} - 12|`
`= \sqrt{3} + (6(\sqrt{3} - 1))/(3 - 1) + 12 - 4\sqrt{3}`
`= 3(\sqrt{3} - 1) + 12 - 3\sqrt{3}`
`= 3\sqrt{3} - 3+ 12 - 3\sqrt{3}`
`=9`
`***`sharksosad
Hãy giúp mọi người biết câu trả lời này thế nào?
Bảng tin