

Hãy luôn nhớ cảm ơn và vote 5*
nếu câu trả lời hữu ích nhé!
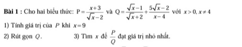
Đáp án`+`Giải thích các bước giải:
`1,` Thay `x = 9` (TMĐK)` vào `P` ta được:
`P = (9 + 3)/(\sqrt{9} - 2)`
`=> P = (12)/(3 - 2)`
`=> P = 12`
Vậy ` P = 12` tại `x= 9`
`2,` Với `x> 0;x \ne 4` thì
Ta có: `Q= (\sqrt{x} - 1)/(\sqrt{x} + 2) +(5\sqrt{x}- 2)/(x - 4)`
`=> Q= ((\sqrt{x} - 1)(\sqrt{x} - 2) + 5\sqrt{x} - 2)/((\sqrt{x} - 2)(\sqrt{x} + 2))`
`=> Q= (x - 3\sqrt{x} + 2 + 5\sqrt{x}- 2)/((\sqrt{x} - 2)(\sqrt{x} + 2))`
`=>Q = (\sqrt{x} (\sqrt{x}+ 2))/((\sqrt{x} - 2)(\sqrt{x} + 2))`
`=> Q=( \sqrt{x})/(\sqrt{x} - 2)`
Vậy `Q= (\sqrt{x})/(\sqrt{x} - 2)` với `x > 0;x \ne 4`
`3,` Với `x > 0;x \ne 4` thì
Ta có: `P/Q = (x + 3)/(\sqrt{x} - 2) : (\sqrt{x})/(\sqrt{x} -2 )`
`=>P/Q= (x + 3)/(\sqrt{x})`
`=> P/Q = \sqrt{x}+ 3/(\sqrt{x})`
Vì `x> 0 => \sqrt{x}; 3/(\sqrt{x}) > 0` nên theo BĐT `Cau - chy` Ta có
`\sqrt{x} + 3\sqrt{x} \ge 2\sqrt{\sqrt{x}. 3\sqrt{x}) = 2\sqrt{3}`
Dấu "`=`" xảy ra `<=> \sqrt{x} = 3/(\sqrt{x})`
`<=> x = 3 (\text{tm})`
Vậy GTNN của `P/Q` là `2\sqrt{3} <=> x =3 `
`***`sharksosad
Hãy giúp mọi người biết câu trả lời này thế nào?

`#Aridoto`
`P=(x+3)/(sqrtx-2)`
`Q=(sqrtx-1)/(sqrtx+2)+(5sqrtx-2)/(x-4)`
`ĐKXĐ:x>0;x\ne4`
`a.`
Tại `x=9=>P=(9+3)/(sqrt3-2)=12`
`b.`
`Q=((sqrtx-1)(sqrtx-2))/(x-4)+(5sqrtx-2)/(x-4)`
`Q=(x-3sqrtx+2+5sqrtx-2)/(x-4)`
`Q=(x+2sqrtx)/(x-4)`
`Q=(sqrtx(sqrtx+2))/((sqrtx-2)(sqrtx+2))`
`Q=sqrtx/(sqrtx-2)`
`c.`
`P/Q=(x+3)/(sqrtx-2):sqrtx/(sqrtx-2)`
`P/Q=(x+3)/sqrtx=sqrtx+3/sqrtx`
`=>P/Q min` tại `x=3`
Hãy giúp mọi người biết câu trả lời này thế nào?
Bảng tin
1176
545
1084
bdt cau-chy là jz cou
5931
94205
3860
`a;b> 0` thì `a + b \ge 2\sqrt{ab}`
5931
94205
3860
cái này dựa trên BĐT bậc hai thôi ạ `(a - b)^2 \ge 0 AAa;b` `=> a^2 - 2ab + b^2 \ge 0` `=> a^2 + b^2\ge 2ab` nhưng ở đây để biểu thức có nghĩa thì `a;b \ge 0`