

......................................................................................
Hãy luôn nhớ cảm ơn và vote 5*
nếu câu trả lời hữu ích nhé!
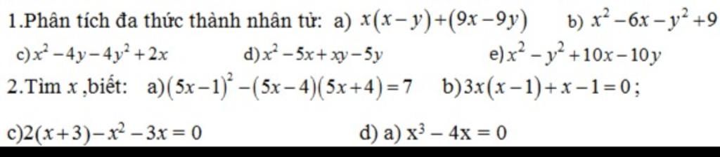
`a)` `x(x - y) + (9x - 9y)`
`= x(x - y) + 9(x - y)`
`= (x - y)(x + 9)`
`b)` `x^2 - 6x - y^2 + 9`
`= (x^2 - 6x + 9) - y^2`
`= (x - 3)^2 - y^2`
`= (x - 3 - y)(x - 3 + y)`
`c)` `x^2 - 4y - 4y^2 + 2x`
`= (x^2 - 4y^2) - (4y - 2x)`
`= (x - 2y)(x + 2y) - 2(2y + x)`
`= (x - 2y)(x + 2y) + 2(x + 2y)`
`= (x + 2y)(x - 2y + 2)`
`d)` `x^2 - 5x + xy - 5y`
`= (x^2 - 5x) + (xy - 5y)`
`= x(x - 5) + y(x - 5)`
`= (x - 5)(x + y)`
`e)` `x^2 - y^2 + 10x - 10y`
`= (x^2 - y^2) + (10x - 10y)`
`= (x - y)(x + y) + 10(x - y)`
`= (x - y)(x + y + 10)`
Hãy giúp mọi người biết câu trả lời này thế nào?
Bảng tin