

Hãy luôn nhớ cảm ơn và vote 5*
nếu câu trả lời hữu ích nhé!
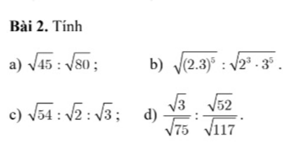
` Bài 2`
`a)sqrt45:sqrt80`
`=sqrt{45/80}`
`=sqrt{9/16}`
`=3/4`0
`b)sqrt{(2*3)^5}:sqrt{(2^3*3^5}`
`=sqrt{(2*3)^5:(2^3*3^5)}`
`=sqrt{2^5*3^5:2^3*3^5}`
`=sqrt2^2`
`=2`
`c)sqrt54:sqrt2:sqrt3`
`=sqrt{54:2:3}`
`=sqrt{54:6}`
`=sqrt9`
`=sqrt3^2`
`=3`
`d)sqrt3/sqrt75:sqrt52/sqrt117`
`=sqrt(3/75):sqrt(52/117)`
`=sqrt1/25:sqrt(4/9)`
`=1/5:2/3`
`=1/5*3/2`
`=3/10`
Hãy giúp mọi người biết câu trả lời này thế nào?
a,
`sqrt(45):sqrt(80)`
`=sqrt(45:80)`
`=sqrt(9/16)`
`=3/4`
b,
`sqrt((2.3)^5):sqrt(2^3 .3^5)`
`=sqrt((2^5 .3^5):(2^3 .3^5))`
`=sqrt((2^5 .3^5)/(2^3 .3^5))`
`=sqrt(2^2)`
`=2`
c,
`sqrt(54):sqrt2:sqrt3`
`=sqrt(54:2:3)`
`=sqrt9`
`=3`
d,
`sqrt(3)/sqrt(75):sqrt(52)/sqrt(117)`
`=sqrt(3/75):sqrt(52/117)`
`=sqrt(1/25):sqrt(4/9)`
`=1/5:2/3`
`=3/10`
Hãy giúp mọi người biết câu trả lời này thế nào?

Bảng tin