

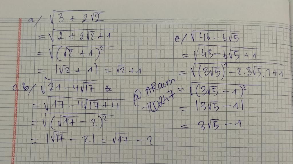
Biến đổi biểu thức trong căn thành bình phương của một tổng hay hiệu rồi từ đó phá bỏ
một lớp căn
Hãy luôn nhớ cảm ơn và vote 5*
nếu câu trả lời hữu ích nhé!
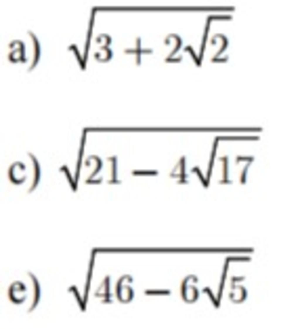
`a)\sqrt{3+2\sqrt{2}}`
`=\sqrt{2+2\sqrt{2}+1}`
`=\sqrt{(\sqrt{2})^2+2.\sqrt{2}.1+1^2}`
`=\sqrt{(\sqrt{2}+1)^2}`
`=|\sqrt{2}+1|`
`=\sqrt{2}+1`
`c)\sqrt{21-4\sqrt{17}}`
`=\sqrt{17-4\sqrt{17}+4}`
`=\sqrt{(\sqrt{17})^2-2.\sqrt{17}.2+2^2}`
`=\sqrt{(\sqrt{17}-2)^2}`
`=|\sqrt{17}-2|`
`=\sqrt{17}-2`
`e)\sqrt{46-6\sqrt{5}}`
`=\sqrt{45-6\sqrtt{5}+1}`
`=\sqrt{(3\sqrt{5})^2-2.3\sqrt{5}.1+1^2}`
`=\sqrt{(3\sqrt{5}-1)^2}`
`=|3\sqrt{5}-1|`
`=3\sqrt{5}-1.`
Hãy giúp mọi người biết câu trả lời này thế nào?
Bảng tin
960
19454
1257
bn ơi vào nhóm t ko ah?
5007
16487
4389
Th mình kh vào đâu, mình có nhóm rồi á