

Rút gọn nhé cảm ơn nhé. thank you nhé. Arigato. Doumo arigatou.Arigatou gozaimasu.
Hãy luôn nhớ cảm ơn và vote 5*
nếu câu trả lời hữu ích nhé!
Đáp án:
$\dfrac{\sqrt{x}-2}{\sqrt{x}+2}$
Giải thích các bước giải:
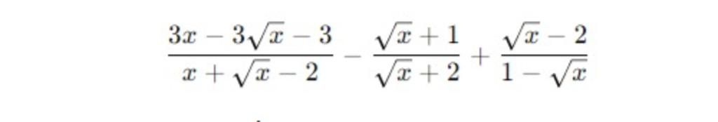
$\dfrac{3x-3\sqrt{x}-3}{x+\sqrt{x}-2}-\dfrac{\sqrt{x}+1}{\sqrt{x}+2}+\dfrac{\sqrt{x}-2}{1-\sqrt{x}}$ (ĐKXĐ: $x\ne1;\;x\ge0$)
$=\dfrac{3x-3\sqrt{x}-3}{x-\sqrt{x}+2\sqrt{x}-2}-\dfrac{\sqrt{x}+1}{\sqrt{x}+2}-\dfrac{\sqrt{x}-2}{\sqrt{x}-1}$
$=\dfrac{3x-3\sqrt{x}-3}{(\sqrt{x}-1)(\sqrt{x}+2)}-\dfrac{(\sqrt{x}+1)(\sqrt{x}-1)}{(\sqrt{x}+2)(\sqrt{x}-1)}-\dfrac{(\sqrt{x}-2)(\sqrt{x}+2)}{(\sqrt{x}-1)(\sqrt{x}+2)}$
$=\dfrac{3x-3\sqrt{x}-3-x+1-x+4}{(\sqrt{x}-1)(\sqrt{x}+2)}$
$=\dfrac{x-3\sqrt{x}+2}{(\sqrt{x}-1)(\sqrt{x}+2)}$
$=\dfrac{x-\sqrt{x}-2\sqrt{x}+2}{(\sqrt{x}-1)(\sqrt{x}+2)}$
$=\dfrac{(\sqrt{x}-1)(\sqrt{x}-2)}{(\sqrt{x}-1)(\sqrt{x}+2)}$
$=\dfrac{\sqrt{x}-2}{\sqrt{x}+2}$
Vậy biểu thức đã cho bằng $\dfrac{\sqrt{x}-2}{\sqrt{x}+2}$ với $x\ne1;\;x\ge0$.
Hãy giúp mọi người biết câu trả lời này thế nào?

Giải thích các bước giải:
ĐKXĐ: `x>=0,x\ne1`
Ta có:
`(3x-3\sqrtx-3)/(x+\sqrtx-2)-(\sqrtx+1)/(\sqrtx+2)+(\sqrtx-2)/(1-\sqrtx)`
`=(3x-3\sqrtx-3)/((\sqrtx-1)(\sqrtx+2))-(\sqrtx+1)/(\sqrtx+2)-(\sqrtx-2)/(\sqrtx-1)`
`=(3x-3\sqrtx-3-(\sqrtx+1)(\sqrtx-1)-(\sqrtx-2)(\sqrtx+2))/((\sqrtx-1)(\sqrtx+2))`
`=(3x-3\sqrtx-3-(x-1)-(x-4))/((\sqrtx-1)(\sqrtx+2))`
`=(3x-3\sqrtx-3-x+1-x+4)/((\sqrtx-1)(\sqrtx+2))`
`=(x-3\sqrtx+2)/((\sqrtx-1)(\sqrtx+2))`
`=((\sqrtx-1)(\sqrtx-2))/((\sqrtx-1)(\sqrtx+2))`
`=(\sqrtx-2)/(\sqrtx+2)`
Hãy giúp mọi người biết câu trả lời này thế nào?
Bảng tin
1240
16174
1227
Làm giúp mình các câu mình mới up với ạ, hứa vote đầy đủ ạ
10599
102337
7974
Mình nhờ người giúp bạn rồi nha
0
9
0
Arigato