Đăng nhập để hỏi chi tiết
Y/C: Dùng latex
CHI TIẾT và CHÍNH XÁC
Hãy luôn nhớ cảm ơn và vote 5*
nếu câu trả lời hữu ích nhé!
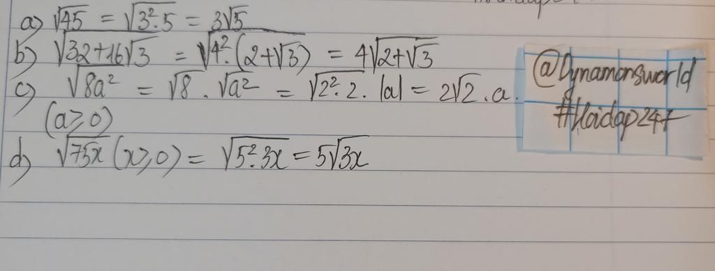
`a)`
`sqrt45=sqrt[3^2*5]=3sqrt5`
`b)`
`sqrt[32+16sqrt3]=sqrt[16(2+sqrt3)]=4sqrt[2+sqrt3]`
`c)`
`sqrt[8a^2] (a>=0)`
`= sqrt[(2a)^2*2]`
`= |2a|sqrt2`
`=2asqrt2`
`d)`
`sqrt[75x] (x>=0)`
`= sqrt[5^2*3*x]`
`= 5sqrt[3x]`
Hãy giúp mọi người biết câu trả lời này thế nào?
Bảng tin