PH/HS Tham Gia Nhóm Lớp 10 Để Trao Đổi Tài Liệu, Học Tập Miễn Phí!
isố
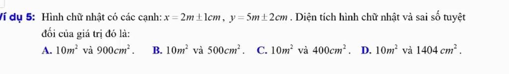
Ví dụ 5: Hình chữ nhật có các cạnh: x=2m+1cm, y=5m±2cm . Diện tích hình chữ nhật và sai số tuyệt
đối của giá trị đó là:
A. 10m2 và 900cm2.
B. 10m và 500cm. C. 10m và 400cm. D. 10m2 và 1404 cm.