

Hãy luôn nhớ cảm ơn và vote 5*
nếu câu trả lời hữu ích nhé!
Đáp án:+Giải thích các bước giải:
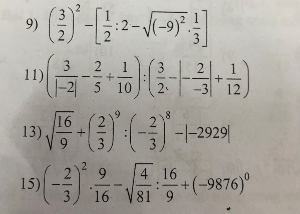
`9)`
`(3/2)^2 - [1/2:2 -\sqrt{(-9)^2} . 1/3]`
`= 9/4 - (1/4 - 9.1/3)`
`=9/4 - (1/4 -3)`
`=9/4 - 1/4 + 3`
`=2+3=5`
`---`
`11)`
`(3/(|-2|) - 2/5 + 1/10):(3/2 -|-2/(-3)+1/12)`
`=(3/2 - 2/5 + 1/10):(3/2 - 2/3 + 1/12`
`=6/5 : 11/12 = 72/55`
`---`
`13)`
`\sqrt{16/9} + (2/3)^9 :(-2/3)^8 -|-2929|`
`= 4/3 + 2/3 - 2929`
`=2-2929=2927`
`---`
`15)`
`(-2/5)^2 . 9/16 - \sqrt{4/81} : 16/9 + (-9876)^0`
`= 4/9. 9/16 - 2/9. 9/16 + 1`
`=1/4 - 1/8+1=9/8`
Hãy giúp mọi người biết câu trả lời này thế nào?
`9,(3/2)^2-[1/2:2-sqrt((-9)^2). 1/3]`
`=9/4-[1/4-|-9|. 1/3]`
`=9/4-[1/4-9. 1/3]`
`=9/4-[1/4-3]`
`=9/4-1/4+3`
`=2+3`
`=5`
`11,(3/(|-2|)-2/5+1/10):(3/2-|-2/-3|+1/12)`
`=(3/2-2/5+1/10):(3/2-2/3+1/12)`
`=6/5:11/12`
`=72/55`
`13,sqrt(16/9)+(2/3)^9:(-2/3)^8-|-2929|`
`=4/3+(2/3)^9:(2/3)^8-2929`
`=4/3+2/3-2929`
`=2-2929`
`=-2927`
`15,(-2/3)^2. 9/16-sqrt(4/81):16/9+(-9876)^0`
`=4/9. 9/16-2/9. 9/16+1`
`=1/4-1/8+1`
`=9/8`
Hãy giúp mọi người biết câu trả lời này thế nào?
Bảng tin