

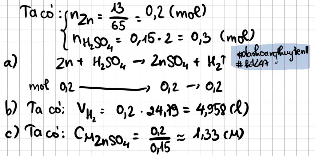
Cho 13g kẽm tác dụng với 150 ml H2SO4 2M
a) Viết PTHH xảy ra
b) Tính thể tích H2 ở ( 25*C , 1 bar )
c) Tính CM ZnSO4 thu được sau phản ứng ( có thể tích sau phản ứng không đổi )
Hãy luôn nhớ cảm ơn và vote 5*
nếu câu trả lời hữu ích nhé!
Giải:
a) PTHH:
Zn + $H_{2}$$SO_{4}$ ->$ZnSO_{4}$ + $H_{2}$
b) Số mol Zn là:
$n_{Zn }$ = $\frac{m}{M}$ = $\frac{13}{65}$ = 0,2 ( mol )
Số mol H2SO4 ban đầu là:
2 . 0,15 = 0,3 mol
=> Thể tích khí H2 ở ( 25*C, 1 bar ) là:
V = n . 24,45= 0,2 . 24,45 = 4,89 L
c) Số mol H2SO4 còn lại sau phản ứng là:
0,3 - 0,2 = 0,1 ( mol )
Số mol ZnSO4 tạo ra = Số mol ZnSO4 phản ứng = 0,2 mol
Đổi 150ml = 0,15l
Nồng độ mol của ZnSO4 là:
$C_{M}$ = $\frac{n}{V}$ = $\frac{0,2}{0,15}$ = 1,33 M
Hãy giúp mọi người biết câu trả lời này thế nào?

`\color{#6699CC}{@}` `\color{#6699CC}{\text{투이티엔}}`
Hãy giúp mọi người biết câu trả lời này thế nào?

Bảng tin