

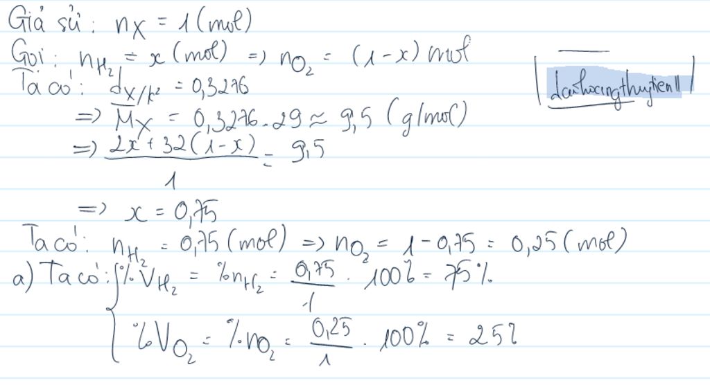
một hỗn hợp X gồm H2 và O2 có tỉ khối so với không khí là 0,3276
a) Tính % về thể tích mỗi khí trong hh
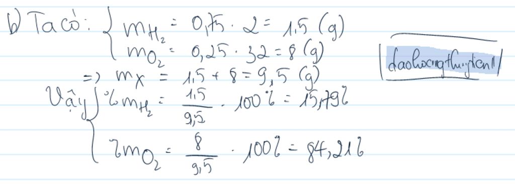
b) Tính % về khối lượng mỗi khí trong hh
Hãy luôn nhớ cảm ơn và vote 5*
nếu câu trả lời hữu ích nhé!

$d_{X/kk}=\dfrac{M_X}{M_{kk}}=0,3276$
`\to M_X=0,3276.29=9,5`
Theo sơ đồ đường chéo:
`n_{H_2}/n_{O_2}=(32-9,5)/(9,5-2)=3/1`
Giả sử `n_X=4\ (mol)`
`\to n_{H_2}=3\ (mol)` và `n_{O_2}=1\ (mol)`
a,
`%V_{H_2}=3/4 .100%=75%`
`%V_{O_2}=1/4 .100%=25%`
b,
`%m_{H_2}=(3.2)/(3.2+1.32).100%=15,79%`
`%m_{O_2}=100%-15,79%=84,21%`
Hãy giúp mọi người biết câu trả lời này thế nào?
Bảng tin