Đăng nhập để hỏi chi tiết


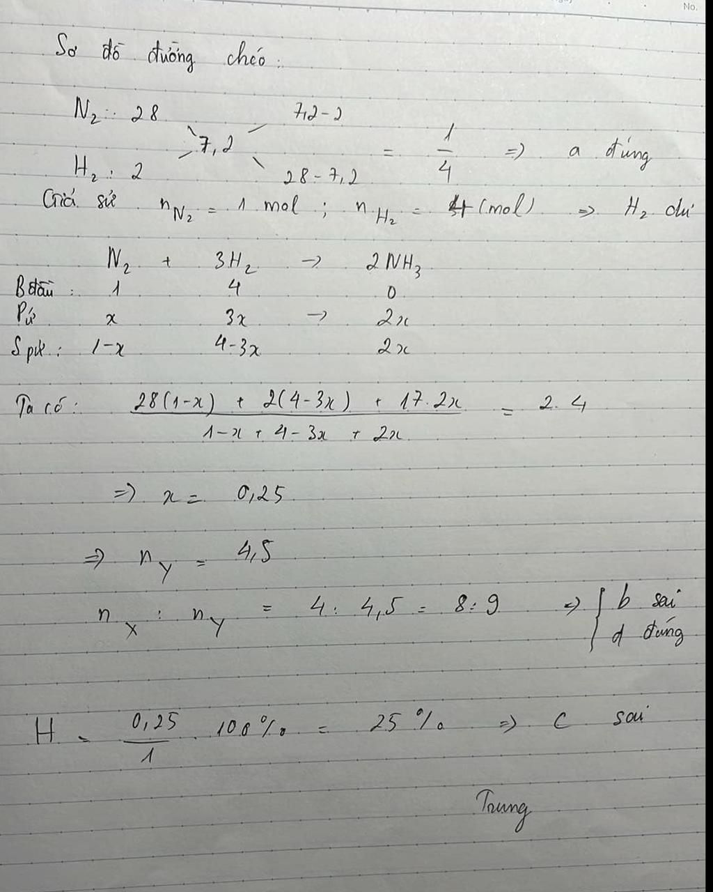
Câu 2. Hỗn hợp khí X gồm N2 và H2 có tỉ khối so với He bằng 1,8. Đun nóng X một thời gian trong bình kín (có bột Fe làm xúc tác), thu được hỗn hợp khí Y có tỉ khối so với He bằng 2.
a) Tỉ lệ số mol N2 và số mol H2 là 1:4.
b) Tỉ lệ số mol của hỗn hợp X và số mol của hỗn hợp Y là 10:9.
c) Hiệu suất của phản ứng tổng hợp NH3 là 50%.
d) Số mol của hỗn hợp X ít hơn số mol của hỗn hợp Y
Hãy luôn nhớ cảm ơn và vote 5*
nếu câu trả lời hữu ích nhé!

Bảng tin