

Hãy luôn nhớ cảm ơn và vote 5*
nếu câu trả lời hữu ích nhé!

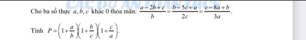
Giải thích các bước giải:
Ta có:
$\dfrac{a-2b+c}b=\dfrac{b-5c+a}{2c}=\dfrac{c-8a+b}{3a}$
$\to 3+\dfrac{a-2b+c}b=3+\dfrac{b-5c+a}{2c}=3+\dfrac{c-8a+b}{3a}$
$\to \dfrac{a+b+c}b=\dfrac{a+b+c}{2c}=\dfrac{a+b+c}{3a}$
Trường hợp: $a+b+c=0$
$\to a+b=-c, b+c=-a, c+a=-b$
Ta có:
$P=(1+\dfrac ab)(1+\dfrac bc)(1+\dfrac ca)=\dfrac{a+b}b.\dfrac{b+c}c.\dfrac{a+c}a=\dfrac{-c}b.\dfrac{-a}c.\dfrac{-b}a=-1$
Trường hợp: $a+b+c\ne 0$
$\to b=2c=3a$
$\to \dfrac ab=\dfrac13, \dfrac bc=2, \dfrac ca=\dfrac32$
$\to P=(1+\dfrac13)(1+2)(1+\dfrac32)$
$\to P=10$
Hãy giúp mọi người biết câu trả lời này thế nào?
![]()
Bảng tin