Tham Gia Group Dành Cho Lớp 11 Chia Sẻ, Trao Đổi Tài Liệu Miễn Phí
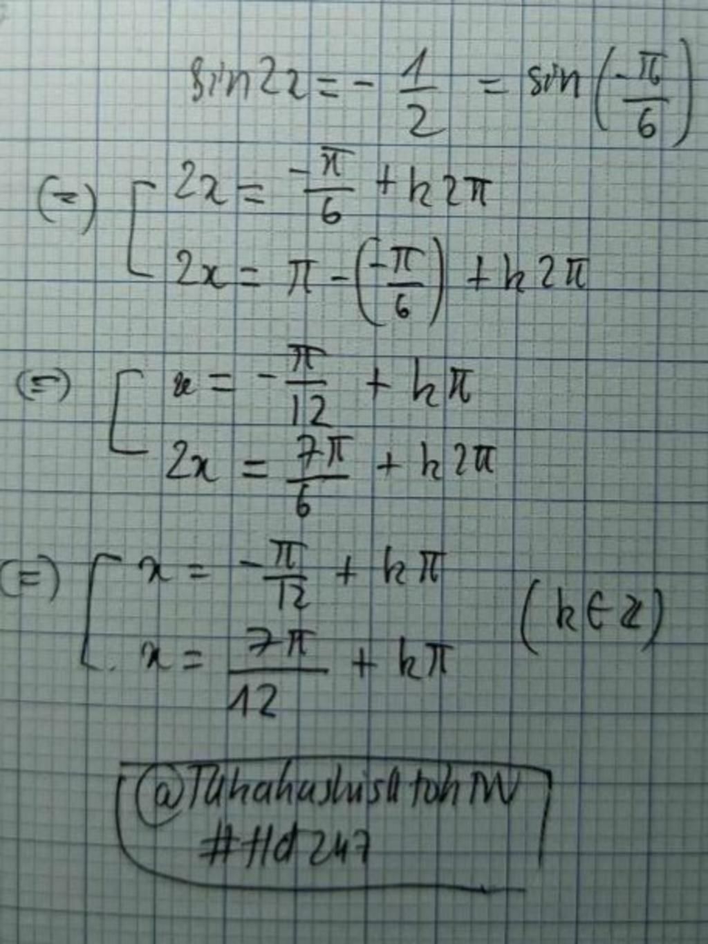
Câu 2. Cho phương trình lượng giác sin 2x
Các mệnh đề sau đúng hay sai?
sin2x=-- (*). Khi đó:
2
shiff sin
2
"
٢/٠٥
7π
Mệnh đề
a)
--π
Phương trình (*) tương đương sin 2x=sin 6
b)
c)
d)
Phương trình (*) có nghiệm: x= 12
·+kл;x
Trong khoảng (0;7) phương trình có 3 nghiệm
TT
Đúng | Sai
1
+ ...
0
40
0
à ok cảm ơn bạn
4472
926
3800
okkk