giúp em với ạ plssss
Hãy luôn nhớ cảm ơn và vote 5*
nếu câu trả lời hữu ích nhé!
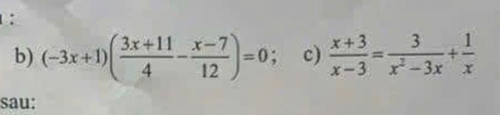
`b)`
`(-3x+1)((3x+11)/4-(x-7)/12)=0`
`Th1:`
`-3x+1=0`
`-3x=-1`
`x=1/3`
`Th2:`
`(3x+11)/4-(x-7)/12=0`
`(3x+11)/4=(x-7)/12`
`4(x-7)=12(3x+11)`
`4x-28=36x+132`
`4x-36x=132+28`
`-32x=160`
`x=-5`
Vậy `x in {1/3;-5}`
`c)`
`(x+3)/(x-3)=3/(x^2-3x)+1/x (đk:x\ne3;0)`
`(x+3)/(x-3)=3/(x(x-3))+1/x`
`x(x+3)=3+1(x-3)`
`x^2+3x=3+x-3`
`x^2+3x=x`
`x^2+3x-x=0`
`x^2+2x=0`
`x(x+2)=0`
`x=0` hoặc `x+2=0`
`x=0 (KTM)` hoặc `x=-2 (TM)`
Vậy `x =-2`
Hãy giúp mọi người biết câu trả lời này thế nào?
$#dtM^^$
Xin lũi chủ tus nhìu ạ , tớ làm vội quá nên hơi ẩu
Hãy giúp mọi người biết câu trả lời này thế nào?
sai
sai dấu à
Câu nào vậy ạ
À mình biết rồi ạ , cảm ơn vì đã nhắc ạ^^
Do mình làm ẩu , mình xin lỗi ạ
Bảng tin
0
0
0
x=-2 sao kluan lại là x=2 ạ
3655
8347
2417
nhầm