Vui lòng chỉ chọn một câu hỏi
Hoidap247.com Nhanh chóng, chính xác
+
Danh mục mới
1
22
0
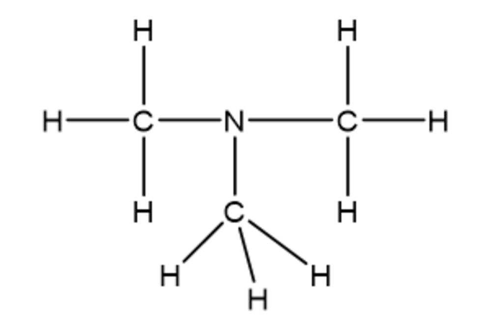
có bao nhiêu công thức cấu tạo tạo amin có công thức phân tử c3h9n
Hãy luôn nhớ cảm ơn và vote 5* nếu câu trả lời hữu ích nhé!
4495
28799
2772
Đáp án: có 4 CTCT
Giải thích các bước giải:
Hãy giúp mọi người biết câu trả lời này thế nào?
760
5
341
`C_3H_9N` có `4` công thức cấu tạo
Bảng tin
Gửi yêu cầu Hủy