Đăng nhập để hỏi chi tiết


Hãy luôn nhớ cảm ơn và vote 5*
nếu câu trả lời hữu ích nhé!
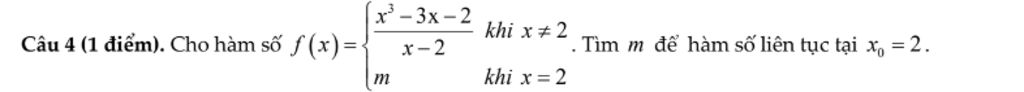
Đáp án:
`f(2) = m`
`lim_(x->2) f(x) = lim_(x->2) (x^3-3x-2)/(x-2) = lim_(x->2) ((x-1)^2.(x-2))/(x-2) = lim_(x->2) (x+1)^2 = 9`
Để hàm số liên tục tại `x =2`
`-> f(2) = lim_(x->2) f(x) `
`-> m = 9`
Hãy giúp mọi người biết câu trả lời này thế nào?
Bảng tin
5009
712
1460
Đài trang nào chia sẻ t với
5009
712
1460
đào*
3360
111
823
đào bừa khó tìm lại lắm
3360
111
823
t đang 43/50
5009
712
1460
:))
3360
111
823
Cứ đào bừa đi vẫn còn vài câu còn sót lại
3360
111
823
https://hoidap247.com/cau-hoi/7454689