

Hãy luôn nhớ cảm ơn và vote 5*
nếu câu trả lời hữu ích nhé!
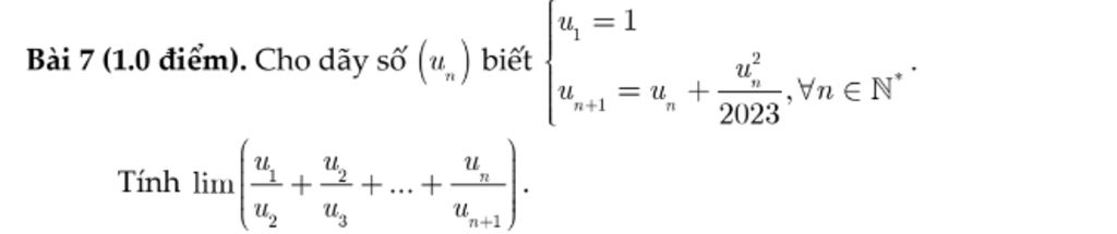
Ta có:
`u_{n+1} = u_n + \frac{u_n^2}{2023}`
`\frac{u_{n+1}}{u_n} = 1 + \frac{u_n}{2023}`
`\frac{u_n}{u_{n+1}} = \frac{1}{1 + \frac{u_n}{2023}}`
Xét `\frac{1}{u_{n+1}} = \frac{1}{u_n(1 + \frac{u_n}{2023})} = \frac{1}{u_n} - \frac{1}{2023 + u_n}`
Suy ra: `\frac{1}{u_n} - \frac{1}{u_{n+1}} = \frac{1}{2023 + u_n}`
Do đó: `\frac{u_n}{u_{n+1}} = \frac{1}{1 + \frac{u_n}{2023}} = \frac{2023}{2023 + u_n}`
Ta có:
`\frac{1}{u_n} - \frac{1}{u_{n+1}} = \frac{1}{2023 + u_n}`
`\sum_{i=1}^{n} (\frac{1}{u_i} - \frac{1}{u_{i+1}}) = \sum_{i=1}^{n} \frac{1}{2023 + u_i}`
`\frac{1}{u_1} - \frac{1}{u_{n+1}} = \sum_{i=1}^{n} \frac{1}{2023 + u_i}`
`\frac{1}{u_{n+1}} = 1 - \sum_{i=1}^{n} \frac{1}{2023 + u_i}`
Vì `u_1 = 1` ta có `u_n` là dãy số dương và tăng
`\frac{u_{n+1}}{u_n} = 1 + \frac{u_n}{2023} > 1`
Suy ra `u_n` là dãy tăng
Mặt khác `\frac{1}{u_{n+1}} = \frac{1}{u_n} - \frac{u_n}{2023u_n + u_n^2} < \frac{1}{u_n}`
Dãy `\frac{1}{u_n}` giảm. Do đó tồn tại giới hạn hữu hạn của `\frac{1}{u_n}`
Đặt `\lim \frac{1}{u_n} = a`
Suy ra `\lim \frac{u_n}{2023} = 0`
`\lim \frac{u_{n+1}}{u_n} = 1`
`\lim (\frac{u_1}{u_2} + \frac{u_2}{u_3} + ... + \frac{u_n}{u_{n+1}}) = \lim \sum_{i=1}^{n} \frac{u_i}{u_{i+1}} = \lim \sum_{i=1}^{n} \frac{2023}{2023 + u_i}`
`\lim \sum_{i=1}^{n} (\frac{1}{u_i} - \frac{1}{u_{i+1}}) = \frac{1}{u_1} = 1`
`\lim \frac{1}{u_{n+1}} = 0`
`\lim \sum_{i=1}^{n} \frac{1}{2023 + u_i} = 1`
Vậy `\lim \sum_{i=1}^{n} \frac{u_i}{u_{i+1}} = 2023`
Hãy giúp mọi người biết câu trả lời này thế nào?
Bảng tin