

Hãy luôn nhớ cảm ơn và vote 5*
nếu câu trả lời hữu ích nhé!
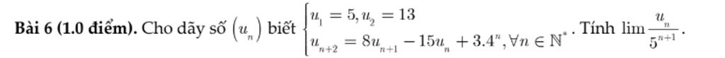
Xét dãy số `v_n = u_n - 3.4^{n-1}`
`v_1 = u_1 - 3 = 2`
`v_2 = u_2 - 12 = 1`
`u_{n+2} = 8u_{n+1} - 15u_n + 3.4^n`
`u_{n+2} - 3.4^{n+1} = 8(u_{n+1} - 3.4^n) - 15(u_n - 3.4^{n-1})`
`v_{n+2} = 8v_{n+1} - 15v_n`
Phương trình đặc trưng: `x^2 - 8x + 15 = 0`
`x_1 = 3, x_2 = 5`
`v_n = A.3^n + B.5^n`
`v_1 = 3A + 5B = 2`
`v_2 = 9A + 25B = 1`
`A = -\frac{1}{6}, B = \frac{1}{2}`
`v_n = \frac{5^n - 3^n}{2}`
`u_n = \frac{5^n - 3^n}{2} + 3.4^{n-1}`
`\lim \frac{u_n}{5^n+1} = \lim \frac{5^n - 3^n + 3.4^{n-1}}{2(5^n+1)} = \lim \frac{1 - (\frac{3}{5})^n + 3(\frac{4}{5})^n}{2(1+\frac{1}{5^n})} = \frac{1}{2}`
Hãy giúp mọi người biết câu trả lời này thế nào?
Bảng tin