

Hãy luôn nhớ cảm ơn và vote 5*
nếu câu trả lời hữu ích nhé!
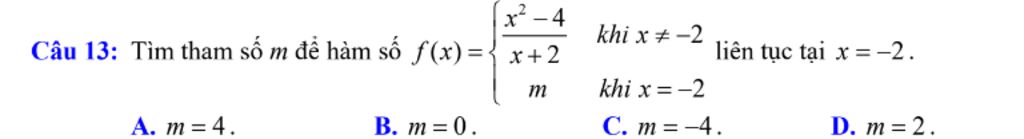
Đáp án:
`f(-2) = m`
`lim_(x->-2) f(x) = lim_(x->-2) (x^2-4)/(x+2) = lim_(x->-2) ((x-2).(x+2))/(x+2) = lim_(x->-2) (x-2) = -2-2 = -4`
Để hàm số liên tục tại `x=-2`
`-> f(-2) = lim_(x->-2) f(x) `
`-> m = -4`
`-> bbC`
Hãy giúp mọi người biết câu trả lời này thế nào?
Bảng tin