Vui lòng chỉ chọn một câu hỏi
Hoidap247.com Nhanh chóng, chính xác
+
Danh mục mới
0
2740
Hãy luôn nhớ cảm ơn và vote 5* nếu câu trả lời hữu ích nhé!
2418
40504
923
Đáp án:
Giải thích các bước giải:
Hãy giúp mọi người biết câu trả lời này thế nào?
3360
111
820
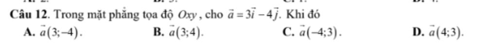
`veca=3veci-4vecj`
`-> veca=(3;-4)`
`-> bbA`
Bảng tin
Gửi yêu cầu Hủy