Đăng nhập để hỏi chi tiết


Giải bài tập toán lớp 12
Hãy luôn nhớ cảm ơn và vote 5*
nếu câu trả lời hữu ích nhé!
Đáp án+Giải thích các bước giải:
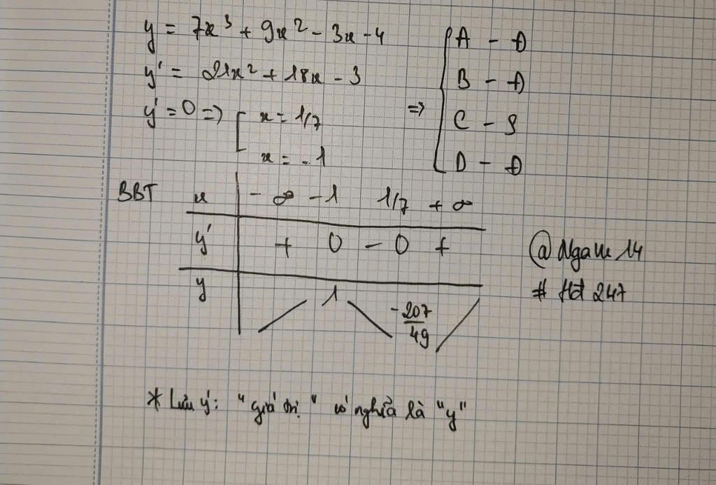
B xem hình dưới
Btw: đồ thị đi lên (cực đại); đi xuống (cực tiểu)
Hãy giúp mọi người biết câu trả lời này thế nào?
Bảng tin