

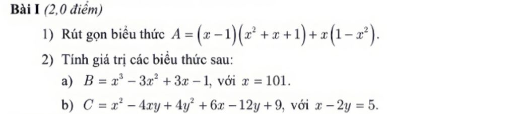
Hãy luôn nhớ cảm ơn và vote 5*
nếu câu trả lời hữu ích nhé!
`@` 090125
Đáp án:
1)
`A=(x-1)(x^2+x+1)+x(1-x^2)`
`A=x^3-1+x-x^3`
`A=x-1`
2)
a) `B=x^3-3x^2+3x-1`
`B=(x-1)^3`
Thay `x=101` vào `B` ta có :
`B=(x-1)^3=(101-1)^3=100^3=100 00 00`
Vậy~~~
b) `C=x^2-4xy+4y^2+6x-12y+9`
`C=(x-2y)^2+6(x-2y)+9`
`C=(x-2y+3)^2`
Thay `x-2y=5` vào `C` ta có :
`C=(x-2y+3)^2=(5+3)^2=8^2=64`
Vậy~~~
Hãy giúp mọi người biết câu trả lời này thế nào?
`K`
`1, A=(x-1)(x^2+x+1)+x(1-x^2)`
`=x^3-1 +x -x^3`
`=x-1`
`2,`
`a,B=x^3-3x^2+3x-1`
`=x^3-3 . x^2 . 1 + 3 . x . 1^2 -1^3`
`=(x-1)^3`
Thay `x=101,` ta được `:`
`(x-1)^3`
`=(101-1)^3`
`=100^3`
`=1000000`
`b, C=x^2-4xy +4y^2+6x -12y+9`
`=[x^2-2.x. 2y + (2y)^2] + (6x-12y)+9`
`=(x-2y)^2 + 6(x-2y) +9`
Thay `x-2y=5,` ta được `:`
`(x-2y)^2 + 6(x-2y)+9`
`=5^2 +6 . 5+9`
`=25+30+9`
`=64`
Hãy giúp mọi người biết câu trả lời này thế nào?
Bảng tin