Vui lòng chỉ chọn một câu hỏi
Hoidap247.com Nhanh chóng, chính xác
+
Danh mục mới
0
2040
Hãy luôn nhớ cảm ơn và vote 5* nếu câu trả lời hữu ích nhé!
5020
2258
1562
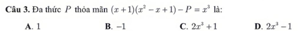
`(x+1)(x^2-x+1)-P=x^3`
`->(x^3+1)-P=x^3`
`->P=x^3+1-x^3`
`->P=1`
Vậy `P=1`
`->bbA`
Hãy giúp mọi người biết câu trả lời này thế nào?
3360
111
822
`=> x^3+1-P=x^3`
`=> 1-P=0`
`=> P=1`
`->A`
Bảng tin
Gửi yêu cầu Hủy