Vui lòng chỉ chọn một câu hỏi
Hoidap247.com Nhanh chóng, chính xác
+
Danh mục mới
0
1940
Hãy luôn nhớ cảm ơn và vote 5* nếu câu trả lời hữu ích nhé!
3360
111
823
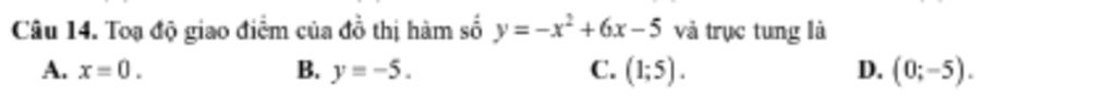
Trục tung có đồ thị hàm số là `x=0`.
Với `x=0` ta có
`y=-0^2+6*0-5`
`=> y=-5`
Vậy tọa độ giao điểm của hàm số với trục tung là `(0;-5)`
`->D`
Hãy giúp mọi người biết câu trả lời này thế nào?
Bảng tin
Gửi yêu cầu Hủy