Vui lòng chỉ chọn một câu hỏi
Hoidap247.com Nhanh chóng, chính xác
+
Danh mục mới
0
2320
Hãy luôn nhớ cảm ơn và vote 5* nếu câu trả lời hữu ích nhé!
3360
111
823
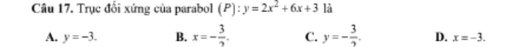
Trục đối xứng của `(P)`: `y=2x^2+6x+3` là:
`x=-b/[2a]=[-6]/[2*2]=-3/2`
`->B`
Hãy giúp mọi người biết câu trả lời này thế nào?
Bảng tin
Gửi yêu cầu Hủy