Vui lòng chỉ chọn một câu hỏi
Hoidap247.com Nhanh chóng, chính xác
+
Danh mục mới
0
2200
Hãy luôn nhớ cảm ơn và vote 5* nếu câu trả lời hữu ích nhé!
3360
111
822
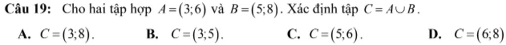
`A=(3;6)`
`B=(5;8)`
`=> AuuB=(3;8)`
`->A`
Hãy giúp mọi người biết câu trả lời này thế nào?
619
8533
237
Ta có:
`A = (3; 6)`
`B = (5; 8)`
`-> A ∪ B = C = (3; 8)`
`-> bbA`
Bảng tin
Gửi yêu cầu Hủy