

Hãy luôn nhớ cảm ơn và vote 5*
nếu câu trả lời hữu ích nhé!
Đây là câu trả lời đã được xác thực
Câu trả lời được xác thực chứa thông tin chính xác và đáng tin cậy, được xác nhận hoặc trả lời bởi các chuyên gia, giáo viên hàng đầu của chúng tôi.
Đáp án + Giải thích các bước giải:
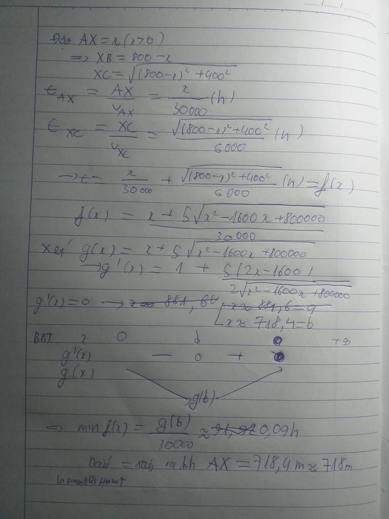
Đặt $BX = x(km)$
$\Rightarrow \begin {cases} AX = 0,8 - x (km) \\ XC = \sqrt{x^2 + 0,4^2} = \sqrt{x^2 + 0,16} (km)\end {cases}$
$\Rightarrow$ Thời gian vận động viên này chạy trên đoạn $AX$ là $\dfrac{0,8 - x}{30}(h)$
Thời gian vận động viên này bơi trên đoạn $XC$ là $\dfrac{\sqrt{x^2+ 0,16}}{6}(h)$
$\Rightarrow$ Tổng thời gian vận động viên này hoàn thành phần luyện tập là $\dfrac{0,8 - x}{30} + \dfrac{\sqrt{x^2 + 0,16}}{6}(h)$
Xét $f(x) = \dfrac{0,8 - x}{30} + \dfrac{\sqrt{x^2 + 0,16}}{6}(0 \le x \le 0,8)$
$f'(x) = \dfrac{-1}{30} + \dfrac{x}{6\sqrt{x^2 + 0,16}}$
$f'(x) = 0 \Leftrightarrow \dfrac{x}{6\sqrt{x^2 + 0,16}} = \dfrac{1}{30}$
$\Leftrightarrow 5x = \sqrt{x^2 + 0,16}$
$\Leftrightarrow 24x^2 - 0,16 = 0$
$\Leftrightarrow$ \(\left[ \begin{array}{l}x = \dfrac{0,2\sqrt{6}}{6}(n)\\x=-\dfrac{0,2\sqrt{6}}{6}(l)\end{array} \right.\)
Bảng biến thiên: ảnh dưới
$\Rightarrow AX = 0,8 - x = 0,8 - \dfrac{0,2\sqrt{6}}{6} \approx 0,71835(km) = 718,35(m)$
Vậy nên chọn điểm $X$ cách $A$ gần bằng $718m$ để vận động viên đến $C$ nhanh nhất
Hãy giúp mọi người biết câu trả lời này thế nào?

Bảng tin