Đăng nhập để hỏi chi tiết


Hãy luôn nhớ cảm ơn và vote 5*
nếu câu trả lời hữu ích nhé!
Đáp án:
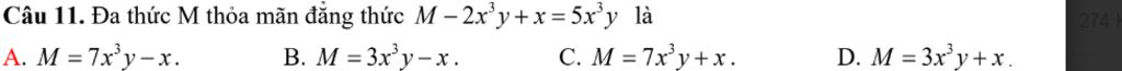
Câu `11:`
`M - 2x^3y + x = 5x^3y`
`M - (2x^3y - x) = 5x^3y`
`M = 5x^3y + (2x^3y - x)`
`M = 5x^3y + 2x^3y - x`
`M = 7x^3y - x`
`=>bb A` đúng
Hãy giúp mọi người biết câu trả lời này thế nào?
Đáp án:
Giải thích các bước giải:
Ta có:
Vì `M-2x^3y+x=5x^3y`
`=>M-(2x^3y-x)=5x^3y`
`=>M=5x^3y+2x^3y-x`
`=>M=7x^3y-x`
`=>` Chọn `A`
Hãy giúp mọi người biết câu trả lời này thế nào?
Bảng tin
169
1201
64
chúc mừng anh lên Mod
3667
35423
2120
..
5208
33172
3104
Xem lại nhé
3667
35423
2120
oke oke
5208
33172
3104
Ngt đánh dấu đỏ ở `A` kìa:))
3667
35423
2120
ảo tht :)))