

Hãy luôn nhớ cảm ơn và vote 5*
nếu câu trả lời hữu ích nhé!
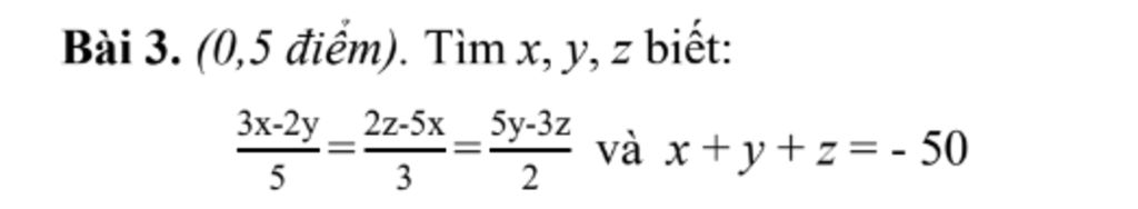
Ta có :
`(3x-2y)/5=(2z-5x)/3=(5y-3z)/2` suy ra `(15x-10y)/25=(6z-15x)/9=(10y-6z)/2`
Áp dụng tính chất dãy tỉ số bằng nhau ta có :
`(15x-10y)/25=(6z-15x)/9=(10y-6z)/2=(15x-10y+6z-15x+10y-6z)/(25+9+2)=0`
Ta có :
`15x-10y=0` nên `15x=10y` `(1)`
`6z-15x=0` nên `6z=15x` `(2)`
`10y-6z=0` nên `10y=6z` `(3)`
Từ `(1);(2)` và `(3)` suy ra `15x=10y=6z` nên `x/2=y/3=z/5`
Áp dụng tính chất dãy tỉ số bằng nhau ta có :
`x/2=y/3=z/5=(x+y+z)/(2+3+5)=-5`
Ta có :
`x/2=-5` nên `x=-10`
`y/3=-5` nên `y=-15`
`z/5=-5` nên `z=-25`
Vậy `x=-10;y=-15;z=-25`
Hãy giúp mọi người biết câu trả lời này thế nào?
Bảng tin