Đăng nhập để hỏi chi tiết


Hãy luôn nhớ cảm ơn và vote 5*
nếu câu trả lời hữu ích nhé!
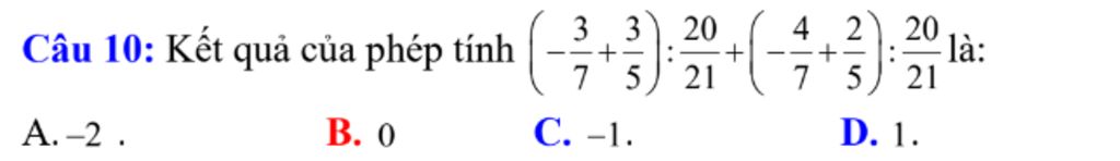
`(-3/7 + 3/5 ) : 20/21 + ( -4/7 + 2/5 ) : 20/21`
`= [ ( -3/7 + 3/5 ) + ( -4/7 + 2/5 ) ] : 20/21`
`= [ ( -3/7 + (-4)/7 ) + ( 3/5 + 2/5 ) ] . 21/20`
`= ( -1 + 1 ) . 21/20`
`= 0 . 21/20`
`= 0`
`-> bbB`
Hãy giúp mọi người biết câu trả lời này thế nào?
`K`
`(-3/7+3/5) : 20/21 + (-4/7 +2/5) : 20/21`
`=(-3/7 +3/5 -4/7 +2/5) : 20/21`
`=(-1 + 1) . 21/20`
`=0 . 21/20`
`=0`
`=>B`
Hãy giúp mọi người biết câu trả lời này thế nào?
Bảng tin