Vui lòng chỉ chọn một câu hỏi
Hoidap247.com Nhanh chóng, chính xác
+
Danh mục mới
0
2020
Hãy luôn nhớ cảm ơn và vote 5* nếu câu trả lời hữu ích nhé!
5009
712
1460
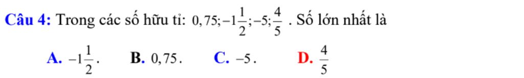
Giải thích các bước giải:
Vì `-1 1/2` và `-5` là `2` số âm
`->` Loại `A` và `C`
Có `0,75 = 3/4 < 4/5`
`->` Chọn `bbD` là số lớn nhất
Hãy giúp mọi người biết câu trả lời này thế nào?
7480
531
4496
Câu `4:`
Không xét hai số âm vì hai số đó không thể lớn hơn hai số dương
Vì `0,75=3/4` và `4/5`
`=> 3/4=15/20` và `4/5=16/20`
`=> 3/4 < 4/5`
`=> 4/5` là số lớn nhất
`=>` Chọn `bb D.`
Bảng tin
Gửi yêu cầu Hủy